期权号移动版

  • 天气变量对经济作物有何影响

    日期:2023-08-16 08:50:22 点击:31 好评:0

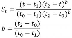
    据分析人士介绍,目前,市场对粮食作物、经济作物等期货品种的天气变量研究多为单一因子,且难以量化天气变量对作物最终产量的影响,但气候适宜度模型可以在一定程度上解决这...

  • 外围风险犹在 关注顺周期板块

    日期:2023-08-16 08:50:13 点击:39 好评:0

    7月底以来,A股走势在政策预期中振荡。短期看,A股交易仍需锚定政策方向及力度。一方面其影响市场对于未来经济修复速度的预期,另一方面影响市场风险偏好,进而改变市场资金活...

  • 玻璃 近强远弱格局明显

    日期:2023-08-16 08:49:32 点击:42 好评:0

    旺季需求偏乐观 玻璃近月面临 保交楼政策带动竣工面积增加和旺季需求不及预期的博弈,盘面高位振荡。旺季过后的远月将面临2021年以来房地产新开工面积下滑向竣工端的传导,因此...

  • 橡胶、棉花、棕榈油产量逐步向下修正

    日期:2023-08-16 08:49:11 点击:34 好评:0

    云南原料产出量减少 泰国产区降水量不足 我们选择经济作物橡胶树(沪胶)、油棕树(棕榈油)、棉花(郑棉)作为代表品种,调用相关气象数据,在以上提及的经济作物主要产区进...

  • 分析人士:棉花单产和质量存在下降的可能

    日期:2023-08-16 08:49:03 点击:50 好评:0

    今年,持续近3年的拉尼娜现象结束,但厄尔尼诺现象又卷土重来。热带太平洋地区7年来首次形成厄尔尼诺条件,全球气温上升,极端降雨和干旱事件的发生频率增加。分析人士表示,...

  • 7月“成绩单”已出 经济持续稳定恢复 为股市提供一定支撑

    日期:2023-08-16 08:43:16 点击:14 好评:0

    8月15日,国新办举行7月国民经济运行情况新闻发布会。国家统计局新闻发言人、国民经济综合统计司司长付凌晖在会上表示,国民经济持续恢复,高质量发展扎实推进,但也要看到,世...

  • 玻璃 继续上涨驱动力不足

    日期:2023-08-16 08:42:17 点击:22 好评:0

    今年玻璃价格走势一波三折,波动空间加大。年初,玻璃下游深加工企业订单情况较差,购买原片意愿不强,期货盘面低位振荡。年后,沙河、湖北、华东等地产销开始走强,下游深加...

  • 期指做多机会大于风险

    日期:2023-08-16 08:42:09 点击:13 好评:0

    8月15日,国新办就7月国民经济运行情况举行发布会,并例行发布7月经济数据。整体而言,经济修复底色有所不足,预计后续政策的密度和力度都会提升。同日,央行开展2040亿元公开市...

  • 北向资金流向较为关键

    日期:2023-08-16 08:42:01 点击:14 好评:0

    上周以来,市场对稳增长信号逐渐消化,加之资金获利了结引发券商板块大幅回撤,A股走势并不理想,8月11日至8月14日盘中主要指数一度出现较大跌幅,上证综指跌破6月26日的低点31...

  • 业内人士:仍以结构性行情为主

    日期:2023-08-16 08:41:53 点击:17 好评:0

    7月下旬以来,受宏观政策预期影响,国内四大期指跟随A股整体呈现冲高回落走势。回顾来看,在7月底中央政治局会议召开后,市场情绪明显好转,股指自7月25日持续上涨,截至8月4日...