橡胶、棉花、棕榈油产量逐步向下修正
葛子远 08月16日
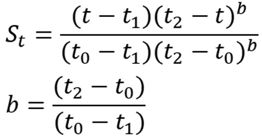
云南原料产出量减少 泰国产区降水量不足 我们选择经济作物橡胶树(沪胶)、油棕树(棕榈油)、棉花(郑棉)作为代表品种,调用相关气象数据,在以上提及的经济作物主要产区进行随机选择并作为样本点位,以气候适宜度模型判断天气变量对经济作物产量的影响。 本文从经济作物面积增速的角度考虑,以棉花为例,其 i 年到 i+1 年的种植面积增长速度,对 i 年棉花产量做面积增速的线性外推,结果与 i+1 年的实际产量之差,为剔除面积变化影响的产量。由于产量结果主要由种植面积和气候影响的单产两种因素主导,所以i大致可认定此为 i+1 年受气候变化影响的产量,简称为模拟气候产量。对天胶则采用橡胶树开割面积、棕榈油采用油棕果的收获面积,测算模拟气候产量。 以橡胶树为例,展现建立气候适宜度模型的完整过程:温度方面,月温度适宜度St计算方法如下公式所示,t为月均气温,t1、t2、t0分别为橡胶生长的最低温度、最高温度和最适温度,b为形状参数。
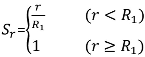
降水方面,由于橡胶树一般不需要灌溉,所以暂不考虑灌溉、蒸散等复杂变量对橡胶树需水量的影响。所用公式如下,r为月均降水量,R1为橡胶树月度适宜降水,取150mm。
日照方面,日照适宜度Ss计算方法如下公式所示,s为实际日照时数,b取常数5.1,S0为日照百分率为55%的月可照时数。
风速方面,橡胶树喜微风,怕强风,橡胶月风速适宜度Sw计算方法如下公式所示,w为平均风速,Wl=1.99m/s,Wh=2.99m/s,分别为橡胶树适宜风速的下限和上限。
月值转化为年值方面,由于橡胶树是多年生落叶乔木,我国橡胶树通常在每年的3月、4月份生长第一蓬叶,第一蓬叶期气象条件对橡胶树生长及产量形成影响最大,因此按照如下公式,对各适宜度月值向适宜度年值转化。
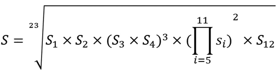
多因子综合方面,采用几何平均和综合乘积的方法,建立橡胶割胶期综合气候适宜度模型,St、Sp、Ss、Sw分别为月温度适宜度、月降水适宜度、月光照适宜度和月风速适宜度。
通过测算2009—2023年我国橡胶的气候适宜度(以海南权重为2、云南权重为1进行几何平均计算)可知,我国橡胶的气候适宜度与模拟气候产量的线性相关性为0.414,多数情况下可以解释模拟气候产量的变化情况。 从季节性规律来看,云南产区的橡胶通常于3月中下旬开割,11月中旬停割。然而,2023年因西双版纳产区气候干旱,云南产区胶园开割比例较低,占总开割面积的20%—25%。从降水适宜度也可看出,2023年云南产区降水达到适宜标准的时间比往年更迟,产区开割时间延迟将导致年内割胶月份缩短,原料产出减量。 通过测算2009—2023年泰国橡胶的气候适宜度可知,泰国橡胶主产地包含北纬8度和北纬18度两大区域,气候适宜度也按相应权重进行几何平均计算。泰国橡胶的气候适宜度与模拟气候产量的线性相关性为0.407,多数情况下可以解释模拟气候产量的变化情况。 从季节性规律来看,泰国橡胶4—10月的气候适宜度高且稳定,与同为北纬18度的中国海南橡胶产区的气候规律相差不大。2023年前4个月,泰国橡胶产区的气候适宜度偏低,预计将对产量造成不利影响。从消息面来看,泰国橡胶协会认为,2023年泰国全国范围内天气炎热,并且干旱、雨水断断续续,这都将导致橡胶产量减少,这也与气候适宜度研究结论相吻合。 疆棉价格波动幅度大 美棉炒作题材料兑现 由于棉花种植依赖灌溉,降水因素对棉花产量的影响不及其对种植成本的影响。由于数据获取和计算难度原因,本文不考虑计算降水适宜度,加之研究表明,从各气象条件对不同物候期趋势变化的平均相对贡献来看,气温因素占到所有平均相对贡献的65%—85%,所以下文仅以气温适宜度来代表棉花的整体气候适宜度。
图为新疆棉花气候适宜度和模拟气候产量走势 通过测算2009—2023年的新疆棉花气候适宜度可知,气候适宜度与模拟气候产量的总体线性相关性达0.71。多数年份,新疆棉花的气候适宜度和模拟气候产量走势的方向性一致,仅2017年、2019年出现例外,即出现了天气状况较好但实际产量不及预期的情况。我们初步判断,2017年、2019年出现了温度、降水、日照、风速以外的对产量有重要影响的因素,如冰雹、虫灾等。 从月度分布来看,2023年4月、5月、6月,新疆棉花的气候适宜度均处于近15年以来的低位,所以2023年新疆棉花减产成为大概率事件。 从往年分布来看,新疆棉花的气候适宜度在4月、5月、6月波动较大,7月开始收敛,而8月气候适宜度连续15年都集中在0.58左右,9月气候波动继续加大。由4—9月气候适宜度总体呈上升模式,可见新疆独特的气候特点。我们曾提出,8—9月,新疆棉花受到的天气影响和最终产量的关联度比重较大,为重要的天气影响窗口期,如果出现不利天气则严重影响产量。而从气候适宜度的月度分布情况来看,新疆2023年8月的气候适宜度非常稳定,基本不会出现异常情况。因此,对于2023年剩余的棉花生长期,按规律分析,8月的气候适宜度将越来越好,有望升至0.58左右,前期的不利因素将有所减弱,同时市场炒作天气题材的动力也在减弱。不过,综合评估来看,由于前期基础水平较低,今年新疆棉花气候适宜度仍将处于多年来的低位水平。 通过统计郑棉期货主力合约2009—2023年4—9月的变异系数(标准差/均值),来分析月内价格的离散程度,可以看到,4月、5月、6月、9月郑棉价格波动幅度较大,7月、8月波动幅度则偏小,与上述新疆气候规律基本吻合。因此,我们根据统计规律初步推断,8月郑棉价格受天气影响出现明显波动的概率较小,9月以后可能出现较大波动和投资机会。 通过测算2009—2023年的美国棉花气候适宜度可知,美国棉花气候适宜度与模拟气候产量的变化情况基本吻合。因为美国棉花主产区气候条件各不相同,所以棉花的物候期也有细微差异,但总体仍遵循4月开播、9月逐步收获的规律。 从月度分布来看,美棉每年7月的气候适宜度波动最剧烈。从美棉完整生长期的运行规律来看,美棉4—6月的气候适宜度逐步上升,但7—8月的气候适宜度增速下降,9月的气候适宜度则继续快速上升。仅从气候适宜度来看,8月美棉价格可能受天气影响较大,此时美棉的天气炒作可能较为顺利。 观察印尼棕榈油走势 多因素制约马棕运行 为达到油棕树种植生长最佳效益,温度方面,一般要求种植地多年平均最高温介于29℃—32℃之间,多年平均最低温介于22℃—24℃之间,下面采取的最高、最低、适宜温度值分别为22℃、32℃、26℃。 降水方面,一般要求年降雨量在2000mm以上,并且平均分布到各月,没有明显的雨季和旱季,下文采取月度适宜降水值为200mm。 日照方面,年有效日照在2000小时以上的地区可以获得良好的产量和经济效益,油棕树主产区马来西亚和印度尼西亚靠近赤道,当地日照可基本满足种植生长条件,所以不考虑计算油棕树的日照适宜度。 风速方面,油棕树的主产地不存在台风,地形风影响也相对较小,所以不考虑计算油棕树的风速适宜度。 通过测算2009—2023年印尼油棕树的气候适宜度可知,气候适宜度与模拟气候产量的线性相关性为0.599,多数情况下可以解释模拟气候产量的变化情况。 从季节性规律来看,往年6—9月印尼棕榈油价格波动幅度较大,主要受到潜在天气因素的影响。 通过测算2009—2023年马来西亚油棕树的气候适宜度(38个月生长期移动平均的气候适宜度),结果均表明,马来西亚油棕树的气候适宜度和模拟气候产量之间的相关性较低,前后数据难以同时解释模拟气候产量的变化情况。因此,初步认定马来西亚棕榈油产量受到气候以外因素的影响较多,如劳工短缺问题等。 整体来看,在天气变量对经济作物产量的影响分析中,既往的研究多数采取二次曲线的方法分离产量的趋势产量和气候产量,也有研究定义了单产丰歉年指数,即单产和过去5年平均单产的增速比率,但我们通过计算发现,分离出的气候产量、单产丰歉年指数和气候适宜度的线性相关性均表现不佳。 展望后市,从沪胶市场来看,受利好因素影响,终端车市延续复苏势头,轮胎企业开工意愿相对积极。然而,天气方面,厄尔尼诺现象不时扰动原料产出,传统旺季生产节奏将被打断,供需结构逐步偏紧,价格上行驱动持续增强。 从郑棉市场来看,2023年,疆棉生长期内气候条件总体不佳,叠加种植面积下降,本年度疆棉减产确定性较大。我们预计,郑棉供需格局将趋紧,价格以偏强振荡为主。 从棕榈油市场来看,尽管天气因素增加了棕榈油供给端的不确定,但实质性影响并不明确,叠加目前棕榈油正值旺产季,需求并未出现明显利多。国内方面,库存水平仍较高于历史同期,所以棕榈油价格将呈现振荡偏弱格局。(作者单位:兴业期货0 (责任编辑:admin) |








