上证50ETF波动率指数特征及应用分析
广发期贷期权研究 10月31日
1993年,美国芝加哥期权交易所(CBOE)根据标普100指数期权(OEX)价格构建了波动率指数(VIX)。在金融风暴或严重危机事件发生之前,VIX就会逐步上升,直到风暴发生当日达到最高点。但随后几年,标普500指数(SPX)期权的日平均交易量大增,并且是OEX指数期权日平均交易量的1213倍。SPX包括500只大型股票的市场指数,被美国和全球金融市场广泛使用,SPX期权更具有代表性。因此,为了正确反映美国市场的预期波动率,CBOE在2003年改变了VIX的计算方法,根据SPX的认购期权和认沽期权价格构建新的VIX,并于2003年9月22日推出新的VIX指数。本文分析了新VIX的计算方法,并计算了上证50ETF期权的VIX。
VIX的发展
与一般的代表过去走势的股票市场指数不同,VIX代表的是一种预期,它是投资者对于未来30天股票市场波动率的一个预期,在某种程度上反映了投资者对未来市场走势的判断以及乐观或者恐慌的程度,因此VIX指数能够成为一个标志性的波动率指数,并且在编制不久就被业界人士所关注。
![]()
图为标普500指数走势
VIX指数作为短期市场波动率预期的指标,对于股票市场的交易同样具有很大的指导作用。很多研究发现,VIX指数和股票市场的走势有着较为强的负相关效应。也就是说,当股票指数走强的时候,VIX指数就会处在一个相对的低位,而当股票指数大幅下跌的时候,VIX指数通常也会到达一个相对高的位置。
通过对比2000年以来标普500指数和基于标普500的VIX指数的历史数据走势,基本可以认为VIX指数与标普500指数有着较为显著的负相关关系,VIX指数几乎全部捕捉到了市场发生的重大特殊事件,较高时通常意味着较高的市场风险,例如在2008年金融危机的时候,当标普500指数从1292.2点到752.44点,在短短3个月期间跌幅高达41.77%,其VIX指数也以前所未有的速度快速增长,达到了一个极端的高度。
2010年欧债危机的爆发,VIX指数也出现了明显的上升,冲到了50点左右,股票市场也相对走势疲软。2011年下半年,美国主权债务风险爆发的同时,欧洲主权债务危机还在不断蔓延和恶化,VIX指数再次出现了明显的上升。从2012年下半年开始,美国经济开始好转,整个市场运行平稳,标普500指数也是一路攀升,而相对的,VIX指数在低位区间(10—30),说明市场情绪乐观。
1993年,CBOE根据OEX价格构建了VIX,主要用来达成以下两个目标:第一,衡量股市波动率,作为市场焦虑或恐慌的指标;第二,以VIX作为预期未来短期市场期望的波动率。从下表的历史数据中可以看出,在金融风暴或严重危机事件发生之前,VIX就会逐步上升,直到风暴发生当日达到最高点。
![]()
VIX最初的计算方式,是由CBOE根据OEX中的8只平值认购期权和认沽期权构建而成的,但随后几年,SPX期权的日平均交易量大增,并且是OEX指数期权日平均交易量的1213倍。SPX包括500只大型股票的市场指数,被美国和全球金融市场广泛使用,SPX期权更具有代表性。
此外,SPX认购期权和认沽期权的日均交易量,由原来大约相等变为SPX认沽期权的日均成交量大幅超过SPX认购期权的日均成交量。这主要是因为共同基金和投资组合保险的使用者采用平值或虚值的SPX认沽期权作为投资组合的保险工具,导致SPX认沽期权的交易量大幅超过了SPX认购期权。因此,为了正确反映美国市场的预期波动率,CBOE在2003年改变了VIX的计算方法,根据SPX的认购期权和认沽期权价格构建新的VIX,并于2003年9月22日推出新的VIX指数。
新VIX的计算方法
根据CBOE公告的VIX文件,新VIX指数由当时高盛的两位专家S.Rattraw和D.Shah撰写的文件计算得出。新VIX指数并不是根据期权的BSM模型计算,并且没有使用任何一个定价模型,而是由虚值SPX认购期权和认沽期权的加权平均价格构建而成。
计算新VIX指数的公式如下:
![]()
其中<Z:\KT2019\190227c02.tif>;T=期权到期期限;F=由指数期权价格导出的远期指数水平;Ki=第i个虚值期权的执行价,若Ki>F,则为认购期权;若Ki<F,则为认沽期权;△Ki=执行价Ki前后两个执行价(Ki-1和Ki+1)的一半差价,也就是△Ki=(Ki-1-Ki+1)×0.5,其中,最低执行价的△Ki为最低与下一个较高执行价间的差价。类似地,最高执行价的△Ki为最高与下一个次高执行价间的差价;K0=低于远期指数价位F的第1个执行价;R=存续期限内的无风险利率;<Z:\KT2019\190227c08.tif>=每一个执行价 期权的买卖价差的中间价。
新VIX采用的认购期权和认沽期权是距离最近到期日的两个月份的期权,以便组合成一个30天日历日(或交易日)的时期。但在距离到期日只剩8天时,新VIX的计算滚动到次近月与第2个次近月的合约作为计算,这样计算可以将接近到期日时可能发生的价格异常降到最低。
新VIX的计算采用的有效期限(T)是以分钟为单位,而不是以天为单位,这样才能准确复制专业期权和波动率交易者所惯用的以分为主的波动率衡量。
有效期限(T )的计算公式如下:
![]()
其中,MCurrentday=期权距离当天24点剩余的分钟数;MSettlementday=期权到期日0点到SPX结算日的分钟数;MOtherdays=期权从当日24点到结算日当天0点间的总分钟数。
新的VIX计算方法与金融业的实务操作更加贴近,因为它整合整条波动率偏斜曲线上所有期权价格的信息,而不是只有平值期权价格的信息,因此,新VIX代表的期望波动率更稳定且更可靠。
上证50ETF波动率指数的构建
下面介绍如何将新VIX构建的过程和计算应用于上证50ETF波动率指数的构建。接下来,以2015年2月9日上证50ETF期权上市首日的收盘价格数据为例进行计算。
选择计算VIX所需的期权合约
首先,选择计算VIX所需的期权合约。就每一个合约月份而言,基于平值期权,决定远期指数价位(F)。平值期权的执行价是当认购期权和认沽期权价格差价最小时候的执行价。2015年2月9日,近月和次近月期权的剩余期限分别为44天和72天。从下表可以看出,近月和次近月认购期权和认沽期权价格差价最小的时候,平值期权的执行价都为2.3。
![]()
计算远期价格指数价位的公式如下:F=执行价格+eRT(认购期权价格-认沽期权价格),R=0.03(无风险利率),因此,近月和次近月期权的远期价格指数价位(F1和F2)分别为:
![]()
再次决定K0∶K0是低于远期指数价位的第一个执行价,所以,K0=2.3(近月和次近月期权)。
接下来,对所有的期权合约排列,根据执行价格由低到高排列。选择执行价大于K0和非零买价的认购期权。在遇到连续有两个零买价的认购期权后,不再选择任何其他认购期权。然后,选择执行价低于K0和非零买价的认沽期权。同样遇到连续两个零买价的认沽期权后,不再选择任何其他认沽期权。此外,也选择执行价等于K0的认购期权和认沽期权。最后,平均每一个期权的买价和卖价。其中,当选择两个执行价等于K0的认购期权和认沽期权时,为避免重复计算,对执行价等于K0认购期权和认沽期权的价格加以平均,得到单一的价值。因此,通过筛选后,下表则为用来计算VIX的期权合约:
![]()
计算近月和次近月期权的波动率
![]()
VIX反映所有采用的期权价格。单一期权对VIX值的贡献与其价格成正比,但与其执行价成反比。比如,近月执行价2.4认购期权的贡献因子为:
![]()
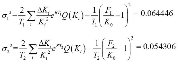
因此,到期日为T1及T2的近月和次近月期权的VIX分为如下:
![]()
计算VIX
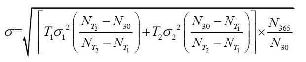
计算出近月和次近月期权的波动率后,将<Z:\KT2019\190227c11.tif>和<Z:\KT2019\190227c11.tif>代入下列公式,获得到期日30天的单一数据,再对其取平方根和乘以100就是最终的VIX。
![]()
其中,<Z:\KT2019\190227c09.tif>=近月合约距离到期时候的剩余分钟数(本例中=9×60×15×60×43×24×60=63360);<Z:\KT2019\190227c10.tif>=次近月合约距离到期时候的剩余分钟数(本例中=9×60×15×60×71×24×60=103680);N30=30天的分钟数=30×24×60=43200 ;N365=1年的分钟数=365×24×60=525600。
代入具体数值后,计算可得σ=0.27679,VIX=100×σ=27.68。因此,2015年2月9日,上证50ETF的VIX=27.68。
上证50ETF波动率指数的应用
通过上述举例计算后,我们利用上证50ETF期权上市以来的日度数据计算VIX,计算时间段为2015年2月9日至2018年12月4日。我们将上证50ETF的波动率指数与上交所编制的中国波指(iVIX)作比较,可以发现两者的走势基本一致。
![]()
图为上证50ETF的VIX与iVIX对比
我们将上证50ETF的收盘价与VIX相比较可以发现,当VIX快速上升时,往往伴随着上证50ETF的大幅下挫,反映了市场的恐慌。
![]()
图为上证50ETF收盘价与VIX的关系
来源:期货日报 作者:广发期货期权研究小组
(责任编辑:朱小期) |














