企业运用亚式期权进行套期保值案例分析
蔡志成 10月30日
随着金融市场的发展,期权受到越来越多投资者的关注。本文通过一个常见的下游产业套保案例,来探讨期权和期货在套期保值时的优势和劣势,同时分析了场内外期权在套期保值时的选择方式以及利用亚式期权进行套期保值的原因。
运用期权和期货进行套期保值的对比
一般而言,套期保值即在现货市场和期货市场对同一种类的商品同时进行数量相等、方向相反的买卖活动。实际操作中,往往在买进或卖出现货的同时,在期货市场上卖出或买进同等数量的期货,构成风险有限的组合。若一段时间后,价格变动使现货买卖上出现盈亏,可由期货交易上的亏盈抵消或弥补,从而实现在现货和期货之间建立对冲机制,使价格风险降低到最低限度。
传统的套期保值会面临着基差风险、市场结构风险、增值税风险等。具体而言,传统的套期保值实际上是用基差风险替代了现货市场的价格波动风险,因此从理论上来说,如果结束套期保值之时基差没有发生变化,就可能实现完全的套期保值,其中,基差=被对冲资产现货价格-对冲的期货合约价格。
由于期货价格和现货价格都是波动的,在期货合同的有效期内,基差也是波动的。基差的不确定性被称为基差风险,降低基差风险实现套期保值关键是选择匹配度高的对冲期货合约。不过,一般来说,基差的变动幅度要远远小于现货价格的变动幅度,因此套期保值的风险相对较低。
随着金融市场的发展,期权受到越来越多投资者的关注。本文利用一个常见的下游产业套保案例,来分析期权和期货在套保中的优劣。
一方面,期权对于绝大部分投资者而言,最吸引人的特点是期权买方风险有限。期货是线性收益的金融衍生工具,持有期货的交易者必须面对与收益等值的下行风险。在进行套保的时候,若标的价格往无需套保的方向移动时,由于头寸相反的缘故,期货对冲端一直处于亏损状态。而期权是非线性收益的高级金融衍生工具,期权的买方具有在标的资产价格下行的情况下锁死最大亏损的权利。这样的非线性收益特征给予了利用期权的套保方在标的价格往无需套保的方向移动时,只需要支付期权费用而不需承担损失的权利,从而获得了从套保中获利的可能性。
![]() ![]()
图为期货和期权到期收益的对比
在实际的套保应用场景中,其中为了方便比较和讨论,本文忽略基差风险等,利用期货进行套保基本形成了无风险组合(delta=0的组合)。而利用期权的情况,需要先支付期权费,换来的是行情向套保的反方向运行的情况下,可能产生的超额盈利。这是因为期权的delta并不恒为1,期权的delta是时变的,故整个组合的delta也是时变的。
另一方面,使用期权进行套保的优势是期权买方烦恼少。在实际套保的应用场景中,若行情大幅波动,利用期货进行套保或会出现需要追缴保证金的情况。而利用期权进行套保,只需期初支付期权费作为服务费用,之后无论行情的变化均可以锁死风险,也不需要追缴保证金,方便的操作得到了套保方的青睐。
运用场内外期权进行套期保值时的选择
首先,我们先对下游产业的案例进行一个假设。假设一家铜的下游产业(其他商品均可类推),在未来9个月内,每天需要购买50吨铜作为产业生产材料,即共需要对270×50=13500吨铜的需求进行套保。另假设当前铜价为50000元/吨,年化波动率为14%,无风险利率为1.5%,融资利率为3%,铜价需要锁定在当前铜价。
先考虑期货套保的情况,为了简化讨论,以下讨论不涉及换月及基差风险。利用期货套保,可以简单理解为期初买入13500吨铜对应数量的铜期货合约,并且每天平仓50吨铜对应的期货合约。
我们看看铜期权的情况。目前铜是有场内期权的商品品种,很多套保方都会考虑是否应该利用场内期权进行套保。场内期权的优势在于,其IV风险溢价相对稳定(即期权费相对稳定),不会出现供应方大幅加价的情况。现实中,往往较场外期权便宜。
![]() ![]()
图为铜场内期权波动率情况及运行情况
而场外期权的优势在于其灵活性,当然这是建立在具体套保需求下的结论。市面上的场外期权服务提供商往往可以单独或分散处理大量的期权需求,属于OTC市场,场内难以交易的套保量,场外可以简单地协商成交。场外期权可以自由设定到期日,对于首次需要签订9个月有效期的情况而言,使用场外期权是唯一选择。另外,场外期权可以提供场内无法提供的各式奇异期权,以满足实际应用中的各种需求。如下文中提到的亚式期权则必须要利用场外期权来实现。
下面分析下利用奇异期权中的亚式期权来实现上述案例套保的方案及其可行性。
运用亚式期权进行套期保值的策略
针对上述套期保值案例,建议买入亚式看涨期权进行套保,其中亚式期权指逐日取样进行算术平均的亚式期权,步骤如下:第一,买入期权的名义吨数和需套保的吨数相等,即期初签订名义吨数为13500的期权合约;第二,建议买入执行价为当前市场铜价/企业预计采购成本,在本案例中应为当前铜价,即50000元/吨;第三,期权的有效期取决于实际套保需求,在本案例中应为9个月(或270天)。
亚式期权和常见的欧式、美式期权不同,其采用期权合同期内某段时间标的资产价格的平均值作为结算价,而非到期日的收盘价。在逐日点价的情况下可以很好模拟每天50吨的案例需求。利用平均值的方式可以避免最后到期日的特殊行情影响了期权的到期收益。另外,由于降低了最终收益的波动率,亚式期权较一般的欧式、美式期权更为便宜。
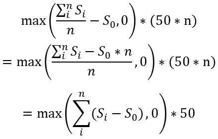
设期初铜价为S0,同时需要锁定的价格也就是执行价为K0。假设其间每天的铜价为Si(i=1,2,……,n),即由于铜价波动,套保方在没有套保的情况下,购买铜所需要额外付出的资金为:
。
显然,在忽略基差及换月风险的情况下,买入铜期货多头进行套期保值时,期货端的损益和上式相同。期货的损益恰好抵消了套保方购买铜所多付的费用。
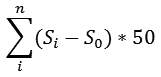
对于利用期权进行套保而言,期权的期末收益为:
![]()
可以看出,套保期间,若铜均价大于执行价(企业预计采购成本),利用亚式期权套保和利用期货套保的最终收益是一致的。但铜均价大幅下跌的情况下,期权最终收益为0,而期货则会有所亏损。
接下来用几个简单的例子来分析下两者之间的区别。
企业利用期货、期权套期保值案例分析
根据上述设定,假设一家铜的下游产业,在未来9个月内,每天需要购买50吨铜作为产业生产材料,即共需要对270×50=13500吨铜的需求进行套保。另外,假设当前铜价为50000元/吨,年化波动率为14%,无风险利率为1.5%,融资利率为3%,铜价需要锁定在当前铜价。
下面根据上述设定进行了情景模拟分析,其中未来铜价根据对数正态分布模拟求得。
未来铜价明显下跌
由于铜价下跌,实际购铜便宜了2224.83万元。忽略基差风险,期货对冲亏损共2224.83万元。
在资金成本为3%、最低保证金比率为5%的假设下,共需保证金利息52万元,最高需要保证金账号占用共5032.74万,其中包括保证金占用和期货亏损。期货对冲总成本为52万元(保证金融资成本)。
![]() ![]()
图为铜价模拟走势及套保组合收益对比
另一方面,由于整体均值低于执行价,故期权收益为0。根据模拟价格的条件定价,有效期为9个月的亚式看涨期权费率为2.803%,共1913.048万元。算上购铜便宜的收益,套保组合整体收益311.7万元。
由此可见遇到标的价格和套保方向持续反向时,利用期权进行套保实现了超额盈利。
未来铜价单边上涨
由于铜价上涨,实际购铜贵了8189.67万元。忽略基差风险,期货对冲盈利共8189.67万元。
在资金成本为3%、最低保证金比率为5%的假设下,共需保证金利息40.2万元,最高需要保证金账号占用共5931.4万元,其中包括保证金占用和期货亏损。期货对冲总成本为40.2万元(保证金融资成本)。
另一方面,由于整体均值高于执行价,故期权收益为8189.67万元。
根据模拟价格的条件定价,有效期为9个月的亚式看涨期权费率为2.803%,共1913.048万元。期权对冲总成本为1913.048万元。
由此可见遇到标的价格和套保方向持续相同时,利用期货进行套保会是更为实惠的方式。
![]() ![]()
图为铜价模拟走势及套保组合收益对比
未来铜价振荡下行
由于铜价振荡下行,实际购铜便宜了1182.49万元。忽略基差风险,期货对冲亏损共1182.49万元。
在资金成本为3%、最低保证金比率为5%的假设下,共需保证金利息52.9万元,最高需要保证金账号占用共4950.9万元,其中包括保证金占用和期货亏损。期货对冲总成本为52.9万元(保证金融资成本)。
另一方面,由于整体均值低于执行价,故期权收益为0。
根据模拟价格的条件定价,有效期为9个月的亚式看涨期权费率为2.803%,共1913.048万元。期权对冲总亏损为730.56万元。
由此可见遇到标的价格振荡时,利用期货进行套保仍会是更实惠的方式。
![]() ![]()
图为铜价模拟走势及套保组合收益对比
综上所述,我们可以看出:利用亚式期权可以比较好地满足下游产业套保方的日常套期保值需求;在实际的套期保值中,利用期货进行套期保值可能会遇到需要追缴保证金、移仓换月等问题,而利用场外期权进行套保则比较方便,只需要事前支付权利金即可持续享受套期保值效果;遇到标的价格和套保方向持续反向时,利用期权进行套保实现了超额盈利,但在其他情况下,由于期权费一般较保证金的利息费用要贵,利用期权进行套期保值的成本较高。在实际应用中,需要结合企业的需求进行选择和方案的设计。
来源:期货日报 作者:蔡志成
(责任编辑:朱小期) |





。






