50ETF期权末日跨式策略的实战应用
陈俊州 10月30日
末日期权一般指距离到期日15天以内的期权,具有期权非常态的特征。随着期权到期日的临近,期权的时间价值呈现加速衰减的态势,尤其是最后一日的期权,时间价值可迅速归零。对于卖出期权而言,若行情预判小幅振荡,则末日当天卖出期权可快速收取全部的权利金;对于买入期权而言,若行情判断为大幅波动,使得买入的期权变成实值的程度较多,则买入期权一方获利巨大。本文通过回顾50ETF及其期权在末日期间的表现,通过历史回测并进行策略损益分析。
[跨式期权概述]
分类
跨式期权是由相同数量、相同行权价的同月认购和认沽期权构成的期权策略。根据买卖方向不同,分为买入跨式期权和卖出跨式期权。宽跨式期权是由相同数量、不同行权价的同月认购和认沽期权构成的期权策略。根据买卖方向不同,分为买入宽跨式期权和卖出宽跨式期权。
买入跨式(宽跨式)期权适用于当投资者预期市场会出现大幅变动,但又不能准确判断标的变动方向时的情况,该策略理论上收益无限,损失有限。卖出跨式(宽跨式)期权适用于当投资者预期市场会出现小幅振荡,该策略理论上收益有限,损失巨大。
Greeks特点
买入跨式期权的Delta随着标的价格持续上涨时,Delta值不断变大,正向获利能力不断增强;当标的价格持续下跌时,Delta值不断变小,负向获利能力不断增强。
买入跨式期权的Gamma值呈现岛形,持续为正值,该策略属于做多波动率策略。在平值附近的Gamma最大,权利金变化较快。
买入跨式期权的Vega值呈现岛形,持续为正值,说明隐含波动率上涨对该组合头寸有利。随着标的价格逐步上涨,Vega绝对值先增大后减小,即隐含波动率对权利金的正向影响先增大后减少。
买入跨式期权的Theta值持续为负数,表明时间价值的损耗对持有买入跨式期权是不利的。随着标的价格持续上涨,Theta绝对值先涨后跌,在平值附近达到最高水平,说明标的价格持续在平值附近振荡时,时间价值的损耗带来的权利金亏损是最大的。
![]()
图为买入跨期权盈亏损益和Greeks
[末日之跨式期权策略]
Greeks特点
2020年1月20日,上证50指数波动加剧,价格跳跃性行情较多,市场追涨杀跌的操作面临风险较大。1月20日至1月22日,50ETF从3.058跌至3.006,其中1月21日跌1.67%报3.007,该日50ETF的1月看跌期权涨幅较大,市场看空情绪一度放大。到1月22日(50ETF的1月合约期权到期日),50ETF开盘杀跌,50ETF沽1月3.00最高涨至0.0383,随后50ETF反弹收涨于3.006,50ETF沽1月3.00权利金归零。因此,当天末日期权交易过程中,持有卖出看跌期权躲过末日的危机,而当日追高虚值看跌期权则承受权利金归零的亏损教训。
末日期权一般指距离到期日15天以内的期权,具有期权非常态的特征。随着期权到期日的临近,期权的时间价值呈现加速衰减的态势,尤其是最后一日的期权,时间价值可迅速归零。对于卖出期权而言,若行情预判小幅振荡,则末日当天卖出期权可快速收取全部的权利金;对于买入期权而言,若行情判断大幅波动,使得买入的期权变成实值的程度较多,则买入期权一方获利巨大。比如末日的买入跨式期权,Gamma在平值附近是正向最大,而Theta在平值附近是负向最大。这表现出末日期权的杠杆效应显著,标的物价格快速上涨或下跌时候,买入跨式期权获利巨大。
![]()
图为买入跨期权盈亏损益和Greeks(剩余一个交易日)
策略框架设计
研究设计和说明
为了探究跨式期权策略在末日期间的表现情况,我们进行如下研究设计和说明:第一,期权组合选择买入平值的跨式期权和买入虚值一档、虚值两档的宽跨式期权,以及卖出平值的跨式期权和卖出虚值一档、虚值两档的宽跨式期权。第二,研究期间从2015年2月9日至2020年1月22日。第三,选择研究的标的为50ETF及其期权合约。第四,“末日”期限的选择,设50ETF期权的到期日为T=0,则其前一个交易日为T=-1,其前3个交易日为T=-3,以此类推。第五,期权价格选择当天交易日T的收盘价。第六,若在末日期限T选择的期权合约不存在虚值一档,或者虚值两档,则剔除该末日T组合,不纳入研究样本。
参数说明
接下来,本文对50ETF期权到期日的样本进行统计,共有59个到期日,记为ED(N=n),其中n=1,2,3……59。根据到期日为T=0,本文试图研究T=-1,-3,-5,-7,-10时,不同的跨式期权持有到期的情况。因此,构建日期面板数据集,记为Date(T=t),其中t=0,-1,-3,-5,-7,-10。根据Date(T)可以计算从t时刻开始到T=0时的50ETF收益率数据集,记为R(T=t);记期权组合损益集为Y(ED,BS,TM,T),其中BS=Buy,Sell;BS=Buy表示买入组合,BS=Sell表示卖出组合;TM=0,1,2;TM=0表示选择平值的期权,TM=1表示选择虚值一档的期权,TM=2表示选择虚值二档的期权。
比如,Y(ED=1,BS=Buy,TM=0,T=-1)表示在2015年3月24日买入一组50ETF跨式期权组合持有到期2015年3月25日时的总收益。记50ETF收益率集为y(ED,T),比如y(ED=1,T=-1)表示在2015年3月24日买入50ETF持有至到期日2015年3月25日的总收益。
策略结果
买入50ETF策略损益
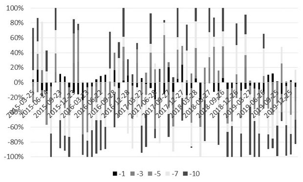
50ETF收益率集为y(ED,T)经过统计如表1所示,在T=-1和T=-3买入50ETF持有至期权到期日时,胜率不足50%且总体是亏损的;而在T=-5和T=-7买入50ETF时,总体略有盈利,胜率近半;T=-10买入50ETF胜率最高,且获得总收益最大。
![]() ![]()
图为在不同T时买入50ETF持有至期权到期日的损益占比
y(ED,T=-10)在总收益上是最大的,而且在历史回测的表现上也是具有较高的收益。尽管y(ED,T=-10)在2015年7月至8月遭受回撤过大,其中到期日为2015年8月26日,即y(ED=6,T=-10)=-24.10%,买入50ETF亏损24.10%;其次是到期日为2015年6月24日,即y(ED=4,T=-10)=-11.84%,买入50ETF亏损11.84%。但是后续的获得正向收益较为稳健。若从2016年起统计y(ED,T =-10)的表现,则2016年至2020年1月22日,y(ED,T=-10)总收益达到24.55%,盈利数25,样本数49,胜率51.02%。
![]()
图为在T=-10时买入50ETF持有至期权到期日的损益情况
跨式期权策略损益分析
本文对跨式期权策略的损益采取固定买入或者卖出1组50ETF期权组合,按绝对收益衡量收益情况。
![]() ![]()
图为在不同T时买入跨式期权持有至期权到期日的损益占比
总体来看,买入跨式或宽跨式期权胜率较低,亏损情况较多,尤其是买入虚值二档的宽跨式期权组合,胜率不足15%;仅在T=-5,-7,-10买入跨式期权组合总收益才出现正向收益,但是获利能力不强。
卖出跨式期权拥有较高的胜率,且在卖出虚值二档的宽跨式期权组合获得总收益最高,且胜率均超过88%。
Y(ED,BS=Buy,TM=0,T)总体收益并不理想,在T=-1,-3买入的跨式期权获利胜算较低。
Y(ED,BS=Buy,TM=0,T)一部分亏损源于高的隐含波动率水平,2015年和2018年隐含波动率水平较高,若在持时期买入期权所付出的权力金成本则较高。
![]()
图为在不同T时的平值期权隐含波动率
接下来,我们对买入跨式策略进行改进,根据隐含波动率水平不同选择是否开仓。选择不同的隐含波动率水平进行策略构建,所获得的平均收益水平出现了显著的差异化。为了更好地对比不同IV下的买入跨式策略的表现,本文采取平均收益指标来衡量策略的优劣。在不受IV限制下,Y(ED,BS=Buy,TM=0,T=-7)表现最好,平均收益80.29;在IV<40%开仓,Y(ED,BS=Buy,TM=0,T=-7)表现最好,平均收益116.68;在IV<30%开仓,Y(ED,BS=Buy,TM=0,T=-10)表现最好,平均收益32.78;在IV<20%开仓,Y(ED,BS=Buy,TM=0,T=-10)表现最好,平均收益92.03;综合来看,在IV<40%时即可买入跨式期权组合策略,同时选择在期权到期日前7个交易日进场,即Y(ED,BS=Buy,TM=0,T=-7)策略表现最好。
![]()
[总结]
本文通过回顾50ETF及其期权在末日期间的表现,通过历史回测并进行策略损益分析,得到以下结论:第一,在末日前10个交易日买入50ETF并持有到期权到期日,可获得客观的正向收益,胜率高达52.54%。第二,在末日前7个交易日买入50ETF期权的跨式期权组合,并且在IV水平低于40%进场,每组期权组合可以获得平均收益116.68,胜率41.07%。第三,在末日期间卖出虚值二档的宽跨式期权,收益能力和胜率均高于卖出虚值一档的宽跨式期权策略和卖出跨式期权策略。前1、3、5、7和10个交易日卖出虚值二档的宽跨式期权,可以获得客观正向收益,其胜率分别为100%、94.92%,88.14%,91.53%和88.14%,其中,末日前10个交易日进行卖出虚值二档的宽跨式期权的收益最大。
来源:期货日报 作者:陈俊州
(责任编辑:朱小期) |










