蒙特卡洛方法在美式期权定价中的应用
张逸星 蔡志成 陈 10月31日
结合Longstaff-Schwartz方法可大大提升定价过程的效率
A 美式期权和欧式期权的区别
蒙特卡洛方法又称随机抽样或统计试验方法,属于计算数学的一个分支,最早应用于20世纪40年代中期的原子能领域。
蒙特卡洛方法是以概率和统计理论方法为基础的一种计算方法,利用随机数(实际应用中通常为伪随机数)来产生随机的基于一定分布假设的数字序列,进而解决各种计算问题。通过对问题的结果分布进行假设和拟合,利用电子计算机实现统计模拟或抽样,以获得问题的近似解。为象征性地表明这一方法的概率统计特征,故借用赌城蒙特卡洛命名。
从理论上来说,蒙特卡洛方法需要大量的实验。实验次数越多,得到的结果才越精确。计算机技术的发展使得蒙特卡洛方法得到快速普及。
现代的蒙特卡洛方法,已经不必亲自动手做实验,而是借助计算机的高速运转能力,使得原本费时费力的实验过程,变成了快速和轻而易举的事情。它不但用于解决许多复杂的科学方面的问题,也被项目管理人员经常使用。
借助计算机技术,蒙特卡洛方法兼具了两大优点:一是简单,省却了繁复的数学推导和演算过程,使得一般人也能够理解和掌握;二是快速,简单和快速是蒙特卡洛方法在现代项目管理中获得应用的技术基础。
在实际应用中,蒙特卡洛方法通过执行统计抽样实验来解决各种数学问题,提供了近似的解决方案。在金融行业数量化工具的设计和定价中蒙特卡洛方法被广泛运用,如为一些难以求出解析解的奇异期权进行定价。
有些投资者不太清楚蒙特卡洛方法在期权定价领域里面的必要性,事实上产生这样的疑惑和国内期权市场发展情况息息相关。国内期权市场发展落后于欧美发达国家,场内期权数量屈指可数,相关的指数和资产管理产品寥寥无几,同时场外期权主要交易的品种也以简单的香草期权(vanilla options)为主,夹杂少量特殊定制的奇异期权。
由于接触的大多是已经有解释解,或者说期权交易和对冲中的希腊字母相对容易计算的期权品种,无论是投资者还是大量金融机构的从业人员对相对复杂的期权品种的定价以及希腊字母的计算方式还是比较陌生的。
实际上在交易者频繁交易各种奇异期权的国外市场,蒙特卡洛方法是相当常用而且具有实战意义的定价方式。下面我们以最为简单的美式期权展开讨论:
美式期权与欧式期权相对应,其持有者有权利在期权续存期内的任意时间行权。在国外成熟的交易市场,绝大部分交易的期权合约都是美式的。相比而言,欧式期权的定价更加容易,实际情况中,交易者会考虑利用相似的欧式期权的价格对美式期权价格进行推导。
假设C为美式期权价格,c为对应的欧式期权价格。显然,由于美式期权和欧式期权的持有者的权利不同,两者必须符合以下规律:
一是由于持有者可以在存续期内任意时间行权,实值美式期权价格C必须不低于该期权的内含价值,也就是当前美式期权行权的收益。
二是无论看涨看跌,美式期权的价格都必须高于对应的欧式期权价格。在同等情况下,对应的欧式期权价格为美式期权价格的下限,即C≥c、P≥p。
三是美式期权同时满足期权价格的平价公式(Put-Call Parity),其中无分红美式期权应满足以下公式——S0-K≤C-P≤S0-Ke-rT。
理论上,由于控制风险的暴露、节省现金、减少时间价值的损失等原因,无分红情况下的美式看涨期权不会提前行权。但在实际情况中,根据交易者具体对行情的判断,美式看涨期权仍然存在提前行权的可能。
从数学理论的角度而言,根据前文提到过美式期权和欧式期权价格的规律,可以得出结论C≥c≥S0-Ke-rt,由于r>0及t>0,显然C>S0-K,故理论上无分红情况下的美式看涨期权不会提前行权。
由于无分红情况下的美式看跌期权存在理论上的提前行权的可能性,如深度实值的时候,故对美式期权的定价而言,主要的挑战和难点集中在美式看跌期权的定价上。
B 美式期权的定价
美式期权的定价问题实际上是一个最优停时问题,也就是说,关键在于寻找执行期权收益比继续持有期权的期望收益大的瞬间。
假设存在Lt,当St≤Lt时执行期权收益比继续持有期权大,而St>Lt时提早执行期权不是一个最优选择的情况下,Lt被称为执行界限。而对于以下最优停时问题:<Z:\KT2018\180627C1.tif>,有基于最优停时τ*的最优解,其中τ*可由以下方程求得——<Z:\KT2018\180627C1.tif>。
显然,对于美式期权的持有者而言,收益最大化的选择便是在St首次小于或等于Lt的时候执行期权。
由于实际上很多奇异期权难以求得解析解,本文聚焦于更具普适性的计算方法。在实际应用中,用于美式期权定价的计算方法主要为二叉树法和本文主要的研究对象——蒙特卡洛方法。
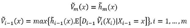
这两种方法都是基于离散时间点进行模拟分析,考虑离散时间0=t0<t1<……<tm=T,假设美式期权在上述时间点才能行权,也就是一个百慕大期权。若每个行权时间点之间的时间间隔足够小,则可以通过百慕大期权的离散定价来逼近美式期权的价格。
![]()
假设Vi(x)为在ti时刻、标的价格为x的期权的价格,显然Vi(x)也可以代表在其他假设不变的情况下,在ti时刻新签发的、标的初始价格为x、期权续存期为(T-ti)的期权的价格。Di为ti时刻和ti+1时刻之间的折旧因子。
显然,在实际应用中,如果要利用蒙特卡洛方法来进行定价,除了需要对标的价格的走势进行模拟以外,还需要求解上述递推方程中的E[Di-1Vi(xi)Xi-1=x]。
下文将介绍求解E[Di-1Vi(xi)Xi-1=x]的核心思路,以及结合实际案例,运用蒙特卡洛方法对美式看跌期权进行定价。
C Longstaff-Schwartz方法
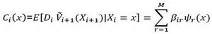
前文提到,求解E[Di-1VixiXi-1=x]是利用蒙特卡洛方法对美式期权定价过程中的主要难关。下面我们将通过一个简单的例子来让读者对E[Di-1VixiXi-1=x]有一个直观形象的理解,从而引入求解该问题国际上的主流方法——Longstaff-Schwartz方法。
![]()
表为模拟标的价格
假设一个简单的美式看跌期权,其中标的的初始价格与行权价格均为100,无风险利率为1.5%,年化波动率为20%,期权续存期长度为1年。设相等时间间隔的两个行权时间点t1和t2,显然t1=0.5,t2=1。对标的价格进行100次模拟,得出两个时间点上标的的模拟价格,并求出期权期末行权的收益折算到t1时刻的数值,作为t1时刻的继续持有期权的期望收益。
对t1时刻的标的的模拟价格和继续持有期权的期望收益作散点图,同时我们用一条四阶的多项式方程,C1St1,t1=b0+b1St1+b2St12+b3St13+b4St14,来拟合t1时刻的标的的模拟价格和继续持有期权的期望收益之间的关系。从下图可以看出,多项式方程能够很好地描述两个变量之间的关系。
![]()
图为t1时刻标的模拟价格与继续持有期权的期望收益的散点表现
由此可以得出Longstaff-Schwartz方法的核心思想,即
,其中βir为常数项,Ψr为被选择的基础函数。选择基础函数是该方法应用中的一个挑战,不同的基础函数会产生不同的拟合结果。基于泰勒展开的思想,实际应用中多项式函数常被选为基础函数,而其他的一些特殊函数也会被选作为基础函数。
事实上Longstaff-Schwartz方法中的基础函数类似于支持向量机(Support Vector Machine)中的核函数,只是在Longstaff-Schwartz方法中没有考虑到支持向量的问题,可以看作为支持向量机的一个原始模型。所以Longstaff-Schwartz方法中的基础函数其实有非常多的候选函数,像径向基核函数 (Radial Basis Function)和Sigmoid函数都是可以用于实战的。如前文提到,不同的基础函数会导致不同的拟合效果,故实际应用时基础函数的选择仍需要读者根据实际应用情况进行选择,本文仅选用简单有效的多项式函数作为基础函数进行讨论。
D 应用蒙特卡洛方法对美式看跌期权进行定价
根据前文所述,没有分红的情况下美式期权的定价的难点主要集中在美式看跌期权,而实际定价中的主要问题是如何求解每一个时间点上继续持有期权的期望收益。接下来我们将为大家详细介绍利用蒙特卡洛方法,结合Longstaff-Schwartz方法对美式看跌期权进行定价的主要过程。
为了方便广大读者的实际使用,下面的讨论会基于实际测试的VBA代码展开,所提供的VBA代码可以稍加修改之后投入到实际应用中。
通过蒙特卡洛方法对标的价格进行模拟
首先输入具体数据,需要的数据包括 标的初始价格、期权执行价格、无风险利率、标的年化波动率、期权续存期、行权时间点个数m以及模拟次数b。
根据输入的数据,进行b次随机模拟,每次生成长度为m的随机模拟标的价格序列,每个模拟的时间点之间的间隔长度为dT(dT=期权续存期/m),计算并记录基于每次标的价格走势模拟的期权期末行权收益。由于期末的期权没有继续持有的选项,故期权的价格可以简单求得,并作为整个反向计算过程的初始值。此处应记录的期权期末行权收益值应共有b个。
通过回归求出继续持有期权的期望收益
根据Longstaff-Schwartz方法,我们可以把ti+1时刻的期权价格的折旧值作为因变量,利用多项式方程对ti时刻的标的价格和ti+1时刻的期权价格的折旧值进行回归,进而求出ti时刻继续持有期权的期望收益。
若t+1时刻为期末时刻,ti+1时刻的期权价格的折旧值可以通过上一步计算得出的期权期末行权收益值折旧求得;若t+1时刻早于期末时刻,则需比较t+1时刻提前行权所能获得的行权收益和ti+2时刻的期权价格的折旧值的大小,选择较大的一方作为回归方程中的因变量。
通过不断循环上述步骤,直到求出t1时刻的期权价格并对其进行折旧,其平均值,即期权签订时期权的期望收益为美式看跌期权的价格。
E 小结
本文简要介绍了美式期权的定价逻辑,并推导出美式期权的定价难点集中在对继续持有期权的期望收益的求解上。
另外,本文还介绍了国际上解决这一问题的主流方法——Longstaff-Schwartz方法,通过对标的价格和下一期期权的价格的折旧值进行回归,得出对当期继续持有期权的期望收益的估计值,进而通过VBA代码展示了利用蒙特卡洛方法对标的价格的走势进行模拟,对美式看跌期权的定价过程。相比更为原始的利用嵌套蒙特卡洛方法来求解继续持有期权的期望收益的做法,利用Longstaff-Schwartz方法大大提升了定价过程的效率,减少了过程中所需要的运算量。
值得注意的是,本文中选择的基础函数是多项式函数,在实际应用中不同的基础函数会导致不同的拟合效果,故实际应用时基础函数的选择仍需要交易者根据实际应用情况进行选择。
来源:期货日报 作者:张逸星 蔡志成 陈俊州
(责任编辑:朱小期) |




,其中βir为常数项,Ψr为被选择的基础函数。选择基础函数是该方法应用中的一个挑战,不同的基础函数会产生不同的拟合结果。基于泰勒展开的思想,实际应用中多项式函数常被选为基础函数,而其他的一些特殊函数也会被选作为基础函数。