上证50ETF期权SKEW指数编制及应用分析
期权中国网 10月31日
指数中隐含的期权投资者对标的走势的看法可以应用到标的实际交易当中
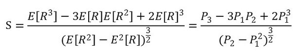
A 芝加哥偏斜指数计算公式
与VIX指数一样,SKEW指数也是由CBOE推出的,两者通常可互为补充,在全面反映市场运行风险方面发挥了重要作用。一般而言,VIX指数是基于期权市场价格编制的反映投资者对标的未来波动预期的指数,而峰度和偏度指数则是预期峰度和预期偏度的指数化产物。
![]()
图为芝加哥偏斜指数走势
下文我们主要分析SKEW指数的基本原理以及编制方法。目前上证50ETF波动率指数的计算也是基于芝加哥的波动率指数的计算方法编制,但国内尚未有官方编制的SKEW指数,在实际应用中,投资者必须自行计算,以作为对未来投资决策的重要参照。
芝加哥偏斜指数的计算公式为:
![]()
如上述公式所示,S的定义类似统计学中的偏度指标,代表标的价格的偏度情况;R是标的的30天对数收益,μ为其均值,σ为其标准差。之所以会有这样的计算方式是因为传统计算方法计算出来的偏度数值S的波动区间相对较小,在实际应用中并不方便,故对其进行放大处理后,形成了国际上常用SKEW指数。
由于市场中往往不存在恰好剩余时间为30天的期权,需要对近月合约和远月合约进行加权处理:
![]()
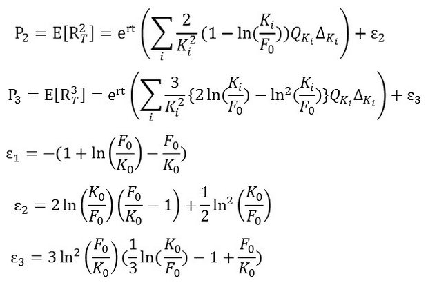
其中S的计算方式如下:
![]()
通过计算P1、P2和P3,即可求出S的值,也就可以最终求出SKEW指数的值。由于推导以及计算方式过于复杂,本文不详细解释如何推导SKEW指数的计算方式,仅提供计算公式:
![]() ![]()
表为公式各个变量含义
根据上述变量的含义,我们可以发现实际上SKEW指数计算的变量和此前介绍过的VIX指数类似,主要来自对标的选取的执行价上,而且考虑的是全部虚值档位,凡是存在虚值档位的期权价格都要考虑在内。此外,该模型不涉及BS定价模型,只对标的收益率的分布进行了假设。
因此,芝加哥偏斜指数的计算方法是一种model-free的计算方式,与传统的利用Black-Scholes-Merton模型倒推期权隐含波动率进而求得隐含波动率的偏度的方法不同。
B 50ETF期权SKEW指数分析
根据前文介绍的芝加哥偏斜指数计算公式,我们尝试把它运用至国内的上证50ETF期权之中,探索标的行情与SKEW指数走势的关系以及SKEW指数的特征。
50ETF期权SKEW指数根据前文阐述的模型公式计算所得。在实际编制SKEW指数的过程中,需要注意以下几点:
一是国内50ETF期权的执行价格之间的间隔需要根据交易所公布的合约挂牌规则来进行计算。虽然绝大部分情况下挂牌的场内期权执行之间的间隔恒定,但也会根据标的价格的变化而变化。
二是需要特别注意的是,对于不同的Ki,选取的期权不同。如果Ki<K0,选用虚值看跌期权;如果Ki>K0,选用虚值看涨期权;如果Ki=K0,必须同时选用看涨和看跌两种期权。如果Ki=K0时没有同时包含两种期权,最终计算出来的结果会出现非常大的误差。
三是对一般投资者而言,计算实时的SKEW指数计算量大且繁杂,大部分投资者的交易频率也不需要应用到这么高频的数据,故在实际应用中,部分变量可以稍作修改,使用更加低频而容易获得的数据。例如对于QKi而言,每个执行价对应的期权合约的买价和卖价的平均值,对于日线级别,直接使用每个执行价对应的期权合约的均价或者收盘都是合理的。
四是由于国内场内期权目前交易还并不十分活跃,深度虚值的期权往往没有交易量,这会导致市场价格的严重失真。在个人计算SKEW指数的时候,可以选择性地剔除某些成交量过小的深度虚值期权。
五是在实际计算中,由于早期的50ETF期权存在设置执行价档位较少,会存在某些交易日因为标的行情暴涨暴跌而导致不存在虚值的看涨/看跌期权的情况,在这种情况下,指数的计算会出现重大偏差,指数的参考意义也随之消失。这种情况的处理方式需要进一步探讨和研究。
最终计算所得的50ETF SKEW指数如下图所示,可见50ETF期权SKEW指数和国外SP500 SKEW指数有一定差异。最显著的一点是,SP500的SKEW指数分布区间在101—147,绝大部分时间处于110—120区间。由于国外的SKEW指数基本在100以上,这意味着场内期权交易者对SP500的对数收益分布的公允估计是左偏的。
![]()
图为50ETF期权SKEW与上证50ETF价格走势
然而国内50ETF期权SKEW指数则一直在100附近,基本集中在95—110的区间,甚至有时会触及90以下,整体重心偏下。这一方面是源于国内的场内期权目前成交还不活跃,越是虚值的期权成交量越低,这会导致虚值端期权价格的失真且价格波动较大,从而导致指数不够准确。
另外,国外SP500的SKEW指数看涨期权虚值端隐含波动率水平较低的其中一个主要原因是,国外的大型机构倾向于在持有股票多头头寸的情况下,通过卖出虚值看涨期权构建备兑看涨组合。由于美股经历多年慢牛走势,卖出的虚值看涨期权往往到期时不会被行权,权利金可以成为业绩增幅的来源。然而,使用这样的策略往往是基于对标的缓慢上涨的判断,是一个做空波动率的策略,而在国内股票市场,慢牛走势并不常见。虽然近两年曾经出现过慢牛走势,但始终不是国内股票市场的常态。种种原因导致卖出虚值看涨期权在国内期权市场并不流行,虚值看涨期权的隐含波动率相对较高。
下图展示了50ETF期权SKEW与50ETF期权近月合约剩余日数的散点分布,其中横坐标为50ETF期权近月合约剩余日数,纵坐标为50ETF期权SKEW的值。
如图所示,50ETF期权SKEW指数与国外SP500的SKEW指数有一定差异。我们可以看出50ETF期权SKEW指数和50ETF期权近月合约剩余日数之间没有显著的线性关系。换而言之,随着时间的流逝,50ETF期权SKEW指数没有一个固定变化模式,故该指数无显著的收敛性或者发散性可以进行简单的统计套利。
实际上,对于隐含波动率的统计套利往往利用偶数阶信息,而偏度为标的的三阶信息,往往在交易标的的时候会是一个常用指标。
![]()
图为50ET期权SKEW与近月合约剩余日数的散点分布
同时可以注意到,SKEW指数的异常点往往都出现在近月期权合约临到期前最后一天,因为国内A股市场有涨跌停的限制,虚值的期权在最后几天往往实际上已经毫无价值了。利用这样的期权来计算SKEW指数可能会导致严重的偏差。
因此我们可以考虑对SKEW指数的计算方式进行一定的修改。实际上芝加哥偏斜指数在计算中会剔除连续的两档买价为0的虚值期权。然而国内50ETF期权由于有最小价格限制,期权价格不会为0。在此我们修改该规则为在计算中会剔除连续的两档买价为0.001的虚值期权,并计算修正后的50ETF期权SKEW指数。
180723d04.JPG
图为50ETF期权SKEW与50ETF价格走势
如上图所示,修正后的50ETF期权SKEW指数的异常点得到了修复,同时整个指数也稳定平滑了很多。
C 50ETF期权SKEW指数应用案例
根据前文所计算得出的修正后的50ETF期权SKEW指数,下文尝试探讨其简单应用场景,更多的使用方法有待投资者自行研究和发掘。
由于国内期权市场尚未成熟,目前首先进入期权领域的投资者都是市场上比较有经验的投资者,可以称得上是所谓的“聪明的钱”。这些“聪明的钱”会在期权市场上寻求风险的保护,同时也会在市场上留下他们交易的痕迹。当市场上主要的投资者都持有标的多头头寸的时候,无论备兑看涨策略还是买入看跌期权寻求下行风险的保护,都会导致SKEW指数>100。换而言之,当SKEW指数>100时,市场上“聪明的钱”都在持有标的的多头头寸。若我们相信这些“聪明的钱”对市场的判断,我们可以同样做多标的。
下面我们将展示利用50ETF期权SKEW指数的简单应用案例:
根据当天期权的收盘价计算SKEW指数,若SKEW指数<100,则下一个交易日做空标的;若SKEW指数>100,则下一个交易日做多标的。
对于50ETF期权而言,考虑到实际交易中,在国内市场上难以做空50ETF,故也可以选择交易高度相关的IH期货合约。
每次交易等量的50ETF期权,最终结果以净值形式呈现。
如仅进行多头交易,在SKEW指数信号为空的时候空仓持有现金。
业绩比较的基准为50ETF期权的买入持有策略。
下图给出利用SKEW指数作为参考指标交易50ETF的策略表现。由于国内50ETF有做空限制,故分别展示多空交易以及仅进行多头交易的策略。
![]()
图为根据SKEW指数进行50ETF期权交易的策略表现
如上图所示,无论是多空交易还是只进行多头交易,利用50ETF期权SKEW指数作为参照指标的交易策略都能大幅跑赢50ETF期权的持有策略,从而证明了该指标的择时有效性。
值得注意的是,随着50ETF期权以及其他商品期权逐步推广,其逐渐被广大投资者所熟悉,目前的50ETF期权市场相比起最初有更多的散户资金。由于散户无论经验还是消息的获取能力都远弱于最初的期权参与者,也就是在市场上有着经验和知识的机构投资者,同时他们会更加倾向于把期权当作高杠杆的投资工具,而不是对资产的保护工具,这可能会导致SKEW指数的预测能力下降。
本文展示了如何运用芝加哥偏斜指数的计算方式计算上证50ETF期权偏斜指数(50ETF SKEW Index),详细说明了编制过程中需要注意的要点以及修正的方法,并进一步分析利用SKEW指数作为交易参照的简单案例。考虑到期权价格隐含着交易者对标的收益分布的预判,文章以50ETF期权 SKEW指数作为指标进行交易,并进行回测。根据回测结果,策略收益远优于50ETF期权的持有策略,由此证明SKEW指数中隐含的期权投资者对标的走势的看法可以应用到标的的实际交易当中。
来源:期货日报
(责任编辑:朱小期) |










