燃料油 空头优势减弱
田丰 02月14日
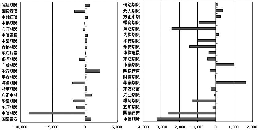
昨日,燃料油期货2305合约呈现放量减仓、振荡偏强的走势。盘中,期价最高上冲至2829元/吨一线,不过随后还是回补了当日的跳空缺口,收盘小幅收涨0.94%,至2782元/吨。燃料油期货2305合约小幅减仓11275手,至346738手,降幅达3.15%。 交易所多空持仓排行榜前20席位数据显示,燃料油期货2305合约持仓呈现多空双减的景象。其中,多头合计减仓9457手,至199821手;空头合计减仓11021手,至223180手。由于空头主力合计减持空单数量大于多头主力合计减持多单数量,导致净空头寸小幅萎缩至23359手。 具体来看,多头前20席位中,减持多单的席位有8家。其中,减持数量超过2000手的有1家,为中信期货席位,大幅减少8683手。另外,减持数量介于500手至2000手的有5家,分别为东证期货席位、华泰期货席位、海通期货席位、银河期货席位和国投安信期货席位,分别减少1343手、1755手、1984手、881手和1634手。剩余2家席位减持数量不足500手。
图为燃料油2305合约多空前20席位持仓变化 空头前20席位中,减持空单的席位有14家。其中,减持数量超过2000手的有3家,分别为中信期货席位、国泰君安期货席位和海证期货席位,分别大幅减少3227手、2621手和2419手。另外,减持数量介于500手至2000手的有4家,分别为银河期货席位、永安期货席位、平安期货席位和徽商期货席位,分别减少1306手、1445手、985手和925手。剩余7家席位减持数量不足500手。 值得注意的是,当日多空排行榜前20席位中,只有1家进行多翻空操作。数据显示,华泰期货席位在减持1755手多单的同时增持1658手空单,表明上述席位对后市期价再度走强信心不足,反手布局空单。 然而,采取空翻多操作的席位则有5家。数据显示,国泰君安期货席位在减持2621手空单的同时增持937手多单,东方财富期货席位在减持250手空单的同时增持61手多单,中信建投期货席位在减持372手空单的同时增持426手多单,永安期货席位在减持1445手空单的同时增持2367手多单,平安期货席位在减持985手空单的同时增持145手多单,表明上述席位认为后市期价存在继续上涨的空间。 昨日,燃料油期货2305合约多空排行榜前20席位中,由于空头主力合计减持空单数量大于多头主力合计减持多单数量,导致净空头寸小幅萎缩至23359手。同时空翻多席位数显著超过多翻空席位数,表明空头优势有所下降。预计后市燃料油期货2305合约或将继续维持振荡偏强的走势。(作者单位:宝城期货) (责任编辑:admin) |


