浅析国庆长假前后波动率策略应用
王翔 武友芃 周依 09月30日
本文通过分析50ETF期权的VIX指数在国庆假期前后的变化规律,提出了三种应对假期的波动率策略。研究结果表明,节后第一天采用卖出跨式期权的策略展现出显著的Alpha收益,具有较强的策略优势。这一发现为波动率交易者在长假期间的市场布局提供了重要参考。
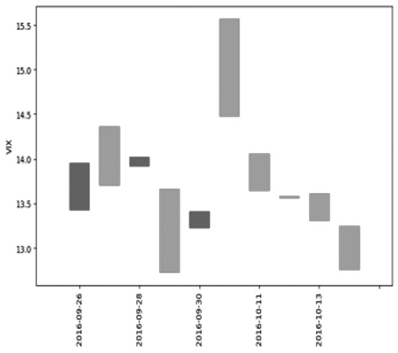
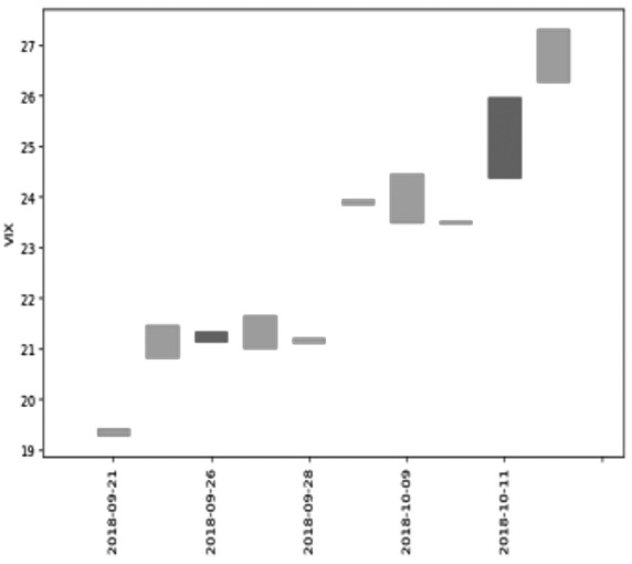
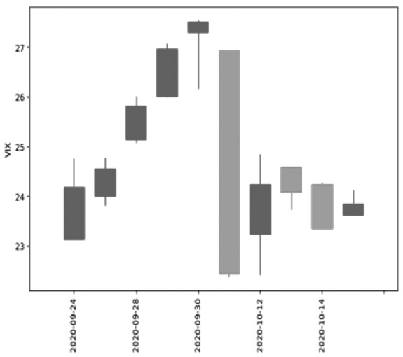
每逢“十一”长假,市场波动性和流动性都会发生显著变化,这给波动率交易者带来了挑战与机遇。由于长假期间国内市场休市,而国际市场仍在交易,假日期间的突发事件可能导致假期后国内市场开盘时出现跳空或波动率剧烈波动。因此,在长假前后,波动率交易策略的设计需要格外谨慎,如何有效应对假期风险成为每位波动率交易者必须认真考量的问题。 本文将围绕两个关键问题展开讨论:一是长假前波动率的演变规律是什么,二是长假后波动率的变化趋势如何。通过对这些问题的深入分析,本文将探讨波动率交易者如何在假期前合理布局策略,并在假期后迅速应对市场变化,帮助交易者更加从容地应对长假期间的市场风险。 [策略介绍] 买入跨式策略 买入跨式期权策略(Long Straddle)是一种适合预期市场将出现剧烈波动但无法确定价格方向的投资策略。该策略通过同时买入相同行权价、相同到期日的看涨期权和看跌期权实现。无论市场价格大幅上涨还是大幅下跌,投资者都有机会从中获利。其优点在于潜在收益没有上限,投资者可以从标的资产的任何大幅价格变动中获取收益,且最大风险仅限于支付的期权费。然而,这一策略的缺点是成本较高,投资者需要支付两份权利金,只有当资产价格发生足够大的波动时才能收回成本并获得盈利。如果价格波动幅度有限,投资者可能遭受亏损。因此,买入跨式期权策略通常适用于标的资产面临重大事件时,当投资者预期市场将出现大幅波动但不确定具体方向时使用。 卖出跨式策略 卖出跨式期权策略(Short Straddle)则是通过同时卖出相同行权价、相同到期日的看涨期权和看跌期权来获得权利金收入。该策略适合在预期市场价格波动较小或市场横盘时使用。其优点在于投资者可以通过卖出期权获得两份权利金收入,并且如果标的资产价格在到期前保持相对稳定,投资者可以保留全部权利金作为利润。与买入跨式期权不同,卖出跨式期权的最大盈利是有限的,即获得的权利金,但其潜在亏损是无限的。如果标的资产价格大幅上涨或下跌,卖出期权的投资者将面临巨大的亏损风险。因此,该策略适用于低波动性市场环境,尤其是在投资者认为市场不会出现大幅波动时使用,但需要具备较强的风险承受能力。 [数据和实验] 数据 本文选取了上证50ETF期权上市以来的9次“十一”长假前五天和后五天的VIX数据作为研究样本,旨在揭示节前与节后波动率的变化规律。通过分析这些数据,我们希望能够总结出节前波动率的常见趋势,以及节后波动率的变化特点。下图展示了过去九年“十一”长假前五天和后五天的VIX走势,为我们提供了直观的参考,以帮助交易者更好地理解节日期间波动率的动态变化。 视角1:节前50ETF期权VIX走势 从下图可以看出,节前VIX走势缺乏明显的趋势。这可能是由于市场参与者对节前50ETF的方向性预期存在分歧,导致VIX波动没有规律性。在9个样本中,节前VIX上升的年份有四个(2018年、2019年、2020年、2021年),下降的年份有四个(2015年、2016年、2017年、2022年),走平的年份为一个(2023年)。上升与下降的次数相等,表明节前VIX的走势不具备一致性。 视角2:节后50ETF期权VIX走势 节后VIX的下跌概率较大。由于假期期间市场休市,节后开盘时的波动率往往较高,但随后趋于回落。在9个样本中,节后VIX下跌的年份有七个(2016年、2017年、2019年、2020年、2021年、2022年、2023年),而上升的年份仅有两个(2015年、2018年)。下跌的次数明显多于上升,表明节后VIX走势呈现出较强的回落趋势。 视角3:节前最后一个交易日的VIX日内走势 节前最后一个交易日,VIX日内下跌的概率较大。这可能是由于节假日的时间价值损耗,市场做市商会调低VIX。在9个样本中,节前最后一个交易日出现阴线的年份有七个(2015年、2017年、2018年、2019年、2021年、2022年、2023年),而出现阳线的年份仅有两个(2016年、2020年)。这表明,节前最后一个交易日VIX下行的可能性较高。 视角4:节后第一个交易日的VIX日内走势 节后第一个交易日,VIX日内下跌的概率也较大。由于假期期间的消息面已经被市场消化,节后通常会出现波动率高开的现象,随后VIX回落,形成日内阴线。在9个样本中,节后第一个交易日VIX下跌的年份有八个,唯一的例外是2015年。 视角5:跨节期间的VIX走势 节后高开是VIX的常见表现。由于假期期间存在不确定性,市场在节后往往会以较高的波动率开盘。在所有9个样本中,节后第一个交易日的开盘价均高于节前最后一个交易日的收盘价,这表明节后VIX高开的概率较大。
以上9个图为2015—2023年上证50ETF期权“十一”长假前五天和后五天的VIX走势 通过这五个视角的分析,我们可以总结出“十一”长假前后VIX的常见走势特征,为波动率交易者提供了重要的市场参考。 实验 基于50ETF期权VIX走势的五个视角,特别设计了三个针对性的波动率策略,旨在充分利用节前和节后的市场特点。为了最大化波动率交易的效果,所有策略均采用远月合约进行开仓。以下是三个策略的详细逻辑: 策略1:节前最后一天开盘卖出跨式期权,收盘平仓 逻辑依据:该策略主要针对视角3中所提到的节前最后一个交易日VIX下跌的高概率。根据历史数据,节前最后一天由于假期的时间价值损耗,VIX通常会走低,做市商倾向于调低波动率。因此,通过在开盘时卖出跨式期权并在收盘时平仓,交易者可以捕捉到VIX下跌带来的利润。 开仓:节前最后一个交易日开盘时,卖出跨式期权(同时卖出看涨期权和看跌期权)。 平仓:在节前最后一个交易日收盘时平仓,锁定收益。 策略2:节后第一天开盘卖出跨式期权,收盘平仓 逻辑依据:该策略基于视角4,即节后第一天VIX日内下跌的高概率。假期后市场通常会消化假期期间的消息,尽管VIX可能高开,但随后往往会回落。因此,通过在节后第一个交易日开盘时卖出跨式期权,并在收盘时平仓,交易者可以从波动率的回落中获利。 开仓:节后第一个交易日开盘时,卖出跨式期权。 平仓:在节后第一个交易日收盘时平仓,获取波动率回落带来的收益。 策略3:节前最后一天收盘买入跨式期权,节后第一天开盘平仓 逻辑依据:该策略是为了应对视角5中提到的节后第一天VIX高开概率大。根据历史数据,假期后的不确定性通常会导致VIX在节后第一个交易日高开。因此,通过在节前最后一个交易日收盘时买入跨式期权,并在节后第一个交易日开盘时平仓,交易者可以从波动率的高开中获利。 开仓:在节前最后一个交易日收盘时,买入跨式期权。 平仓:在节后第一个交易日的开盘时平仓,获利于VIX高开带来的波动率上升。
表为三个策略在九年中的表现 由上表可以清晰得出以下三个结论: 结论1:策略2展现出显著的Alpha。在九年的数据中,仅有一年出现亏损,胜率高达89%。平均每次盈利达140元,显示出较为稳定的正收益表现。唯一的亏损年份为2022年,但亏损幅度较小。 结论2:策略3未能展现出明显的Alpha。九年中有六年出现亏损,仅三年实现盈利,整体表现不够稳定。 结论3:策略1同样未表现出显著的Alpha。在九年的样本中,策略1有五年出现亏损,四年实现盈利,胜率44%,但整体盈利能力并不突出。 这些结论表明,尽管策略2在节后第一天的波动率交易中展现出较强的优势,但策略1和策略3的表现相对不具备明显的Alpha获利潜力。 [结论] 本文对国庆假期前后期权VIX走势进行了深入分析,并基于此提出了三种应对波动率变化的策略。研究结果表明,节后第一个交易日采用卖出跨式期权策略具备显著优势。(作者单位:华融融达期货) (责任编辑:迷你学人) |












