如何提升商品期权Gamma Scalping策略性能
吴广奇 林新杰 07月03日
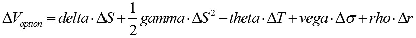
投资者可以从对冲频率角度通过设置对冲条件来提高稳定性 期权Gamma Scalping策略是一种优化的区间振荡交易策略,通过动态调整组合头寸,以达到在其他希腊字母中性的前提下做多gamma的目的。本文首先介绍了Gamma Scalping策略的构建方法和在交易中需要注意的问题,并通过数据回测对策略的功效进行考证;其次,通过隐含波动率择时来提高策略的性能,并同改进后的策略效果进行对比;最后,为了提高策略稳定性和资金容量,推荐投资者使用不同行权价的期权构建Gamma Scalping策略,等权重加权后形成多策略组合。 构建公式 期权Gamma Scalping策略是一种优化的区间振荡交易策略,通过动态调整组合头寸,以达到在其他希腊字母中性的前提下做多gamma的目的。在期权定价中,期权的价格变动和希腊字母的关系可以概括为以下公式: 从公式中可以看出,若构建期权组合做多gamma并保持组合的delta中性,其主要收益或风险来源为gamma和vega。对于单一期权,gamma和vega具有同向性,在构建做多gamma期权组合时,组合同时也面临着vega的风险,而且有时vega对期权的价格影响更为显著,所以在构建策略时要尽量选取波动率相对较低的位置建仓,或者通过远期期权合约将其对冲掉。 除了vega风险的影响外,在构建期权做多gamma时,买入期权将面临theta对期权价值消耗的风险,因此除了考虑vega风险外,在选择期权期限时还需考虑theta的影响。由于期权到期时间越短,期权theta越大,时间价值衰减得越快,所以在关注vega的同时,要尽量选取剩余期限较长的期权。rho相较于其他希腊字母对期权价值影响较小,在一般研究中不做重点考虑。 Gamma Scalping策略往往跟随标的行情调整头寸,始终保持delta中性,在组合持有期内达到高抛低吸的目的。在商品期货期权的实盘操作中,期权的流动性相比其标的主力期货合约更差,若市场波动加剧,此时为保持delta中性需频繁调仓,会产生较大的交易成本。为避免此类问题,可以固定期权的头寸,在组合中加入标的期货并适时调整其头寸以维持delta中性。同样地,由于商品期权远期合约流动性较差,一般不用远期期权合约进行vega对冲,因此Gamma Scalping策略组合构建也较为直接,一般使用标的期货和单一期权多头进行动态组合构建,或者使用标的期货和期权跨式组合进行构建。 实施期权Gamma Scalping策略还需考虑标的期货行情,分析其行情基本面影响因素,对其未来一段时间的价格走势进行判断,并通过构建量化标准对期权当前的波动率水平进行研究,对其可能的走势进行判断。开仓后的delta调整,可根据行情波动情况,定期调整头寸以维持delta中性状态,也可以根据delta的偏离程度进行动态调整,但对冲的效果一般和标的期货行情价格路径高度相关。 数据回测 本文选取两个能化品种和两个软商品期权品种进行回测,分别为甲醇、PTA、棉花和白糖。这4个品种整体上市时间较久,而且流动性较好。 策略模拟设置:以标的期货多头和看跌期权多头进行Gamma Scalping策略的构建,其中期货多头以初始点位投入保证金,考虑到行情变动会影响保证金占用,按20%设置保证金比例;看跌期权按期初买入时价格计算成本。在期权选取方面,甲醇为MA205P2700合约、PTA为TA205P5000合约、棉花为CF205P19400合约、白糖为SR205P5700合约,其标的期货头寸都选取各期权对应的5月合约。 策略设计流程:持有初始100张看跌期权,并用其delta计算每日需要对冲的期货合约,在每天收盘时进行调仓,保证delta中性,减少策略组合在价格方向上的影响。暂不考虑交易成本,4个期权品种的回测结果如下:
图为各品种Gamma Scalping策略回测净值曲线 各品种Gamma Scalping策略回测净值绩效如下:
从上述绩效表格可以看出,能化品种的策略效果要明显好于软商品,尤其是PTA,整体取得了较为稳健的策略收益,说明在一定的环境下,Gamma Scalping策略具有较为明显的策略效果。 各品种收益不同由于策略影响因素导致,由于vega没有对冲,我们首先想到的是波动率的影响,从前文的分析我们知道,以此建立的Gamma Scalping策略与波动率有较为明显的相关关系。下面我们看一下各品种隐含波动率的情况,并以此分析各品种策略上的差别,其看跌期权隐含波动率如下:
图为各品种看跌期权隐含波动率走势 从隐含波动率的图表来看,4个品种的隐含波动率各有不同,其中能化品的整体波动率较高,并呈现上涨走势,在原油见顶回落后波动率开始走低;软商品整体波动较低,且波动率较为稳定,市场较为风平浪静,行情没有产生足够的gamma收入去弥补时间价值的流失。 从数据上分析,策略收益还与波动率的走势有明显的正相关关系,甲醇、PTA、棉花和白糖的策略收益与波动率的相关系数分别为0.95、0.96、0.66、0.88,说明隐含波动率对策略的影响巨大,同时也说明,策略组合存在较大的vega风险。针对vega风险,我们此前提到,一方面可以通过波动率择时进行波动率趋势的判断,另一方面可以通过远期合约进行vega的风险敞口对冲,但商品期权远期合约一般流动性比较差,在实际操作层面往往带来流动性风险,因此波动率择时的方法往往更具有操作性。对上述分析进行小结,即商品期权的Gamma Scalping策略尽量选取市场波动率变化较为频繁的品种,并在市场波动率上涨趋势中进行介入。 策略改进 本文主要对两个能化品种进行研究,做好Gamma Scalping策略关键是对波动率进行择时,一般的波动率择时会对历史的波动进行分析,构建波动率锥并判断其百分位水平,等待波动率的恢复。但在此策略中只需要保证波动率在一个上涨趋势中即可,所以使用一个趋势性的辅助指标效果会更好。
图为隐含波动率均线示意(PTA) 对于是使用历史波动率还是隐含波动率,笔者认为隐含波动率更加直接,因为历史波动率往往具有一定的滞后性,用其来进行波动率未来趋势的判断并不合适。 在本文中,使用隐含波动率的5日均线辅助波动率趋势的判断,即隐含波动率在5日均线的上方时,我们认为目前隐含波动率在上升的趋势中,在此前提下再进行Gamma Scalping策略的操作。 按上述策略逻辑,当隐含波动率高于5日均线时持仓,低于5日均线时空仓,两能化品种的Gamma Scalping策略效果如下:
图为Gamma Scalping策略改进后策略净值 两品种Gamma Scalping改进后策略回测净值绩效对比如下:
从策略绩效指标对比来看,经过使用隐含波动率均线进行辅助判断,Gamma Scalping策略的性能得以更好地提升,无论是收益率、最大回撤等收益风险指标,还是夏普比率、索提诺比率等综合性指标,策略性能都得以大幅提高。 策略拓展 在实际交易中,单个期权往往资金容量有限,而且净值曲线容易有较大回撤,使用多行权价期权进行组合有利于扩大策略资金容量并减少组合风险。在本小节中,笔者分别回测不同行权价的看跌期权与标的多头组成的Gamma Scalping组合净值收益,并使用隐含波动均线进行波动率择时,最后将所组合净值进行等权重加权形成多策略净值曲线。 按上述方法回测甲醇各行权价组合,净值收益曲线如下:
图为甲醇各行权价期权策略回测净值 从绩效上看,甲醇不同的行权价组合在收益、风险和综合指标等方面都有较大的差别,其中以MA205P2750、MA205P2800合约构建的组合表现最优,因此若想提高策略质量,需要进一步对行权价进行选择,但具有较大难度,通过等权重加权形成多策略的组合净值曲线较为稳定,且资金容量更大,是可行性更高的方案。 甲醇各行权价期权Gamma Scalping策略回测净值绩效如下:
同样的方法回测PTA组合,各行权价组合净值收益曲线如下:
图为PTA各行权价期权策略回测净值 PTA各行权价期权Gamma Scalping策略回测净值绩效如下:
从绩效上看,PTA不同的行权价组合净值走势较为一致,在收益、风险和综合指标等方面略有差别,其中以TA205P4900、TA205P5200合约构建的组合表现最优,通过等权重加权形成的多策略组合净值曲线走势较为稳定,但收益处于中等水平。 操作建议 本文介绍了Gamma Scalping策略的构建方法和在交易中需要注意的问题,并通过数据回测对策略的功效进行考证。随后,通过隐含波动率择时来提高策略的性能,并同改进后的策略效果进行对比。最后,为了提高策略稳定性和资金容量,推荐投资者使用不同行权价的期权构建Gamma Scalping策略,等权重加权后形成多策略组合。 关于策略的改进,笔者建议投资者可以从对冲频率角度进行考虑,通过设置对冲条件来提高策略的稳定性。既然vega在组合中不能有效削弱,投资者还可以构建delta中性的跨式组合作为初始期权头寸,然后动态调整标的头寸保证delta中性,但整体引入了更大的vega风险,并需要进行隐含波动率的择时。从文中的数据回测结果可以看出,不同的行权价策略效果也不尽相同,怎么选取行权价也是策略可以改进的方向。(作者单位:申银万国期货) (责任编辑:admin) |












