期权号移动版

  • 新季花生零星上市 未来的交易逻辑是……

    日期:2023-08-15 08:18:10 点击:42 好评:0

    眼下,江西等地春花生已零星上市,高于去年同期的开秤价提振了市场看多期现货价格的信心,但麦茬花生良好的长势又意味着后期新增供应量不容小视。那么,在新陈花生交接之际,...

  • 豪掷42亿元“抢锂” 买家回应!期货溢价创近30年新高 LME锡大跌

    日期:2023-08-15 08:18:04 点击:19 好评:0

    豪掷42亿元“抢锂”, 大中矿业 回应:一次缴清能实现 8月14日, 大中矿业 发布 公告 称,8月13日,全资子公司安徽省大中 新能源 投资有限责任公司(下称大中 新能源 )以42.06亿元成...

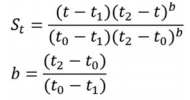
  • 天气因素影响仍在 橡胶、棉花、棕榈油产量逐步向下修正

    日期:2023-08-15 08:14:22 点击:37 好评:0

    目前,市场对粮食作物、经济作物等期货品种的天气变量研究多为单一因子,且难以量化天气变量对作物最终产量的影响,但气候适宜度模型可以在一定程度上解决这个问题。根据已有...

  • 分析人士:棉花单产和质量存在下降的可能

    日期:2023-08-15 08:14:15 点击:48 好评:0

    今年,持续近3年的拉尼娜现象结束,但厄尔尼诺现象又卷土重来。热带 太平洋 地区7年来首次形成厄尔尼诺条件,全球气温上升,极端降雨和干旱事件的发生频率增加。分析人士表示,...

  • 多部门详解“吸引外资24条” 进一步放宽外国投资者对上市公司战略投资限制

    日期:2023-08-15 08:11:48 点击:31 好评:0

    国务院日前印发了《关于进一步优化外商投资环境加大吸引外商投资力度的意见》(下称《意见》),提出6方面24条政策措施,为外国投资者营造更加优化的投资环境,提振外商投资信...

  • 商务部部长王文涛出席阿联酋企业圆桌会

    日期:2023-08-15 08:11:41 点击:24 好评:0

    据商务部网站,8月14日,商务部部长王文涛在迪拜出席阿联酋企业圆桌会。会议由阿联酋经济部主持,阿联酋航空公司、阿布扎比国家石油公司、迪拜环球港务集团、伊玛尔集团、G42...

  • 东方财富财经早餐 8月15日周二

    日期:2023-08-15 08:09:54 点击:39 好评:0

    1、证券时报: 商务部等9部门印发《县域商业三年行动计划( 2023-2025 年)》 。其中提到,继续支持新能源汽车、绿色智能家电、绿色建材和家具家装下乡,加快农村充换电设施建设,...

  • 汇市巨震!美元企稳 多个新兴市场货币波动加剧

    日期:2023-08-15 08:09:48 点击:28 好评:0

    周一美元指数站上103关口,虽然美国7月 CPI 数据好于预期,外界对通胀路径不确定性的担忧有所上升,提振了美元买盘。 非美 货币 全线承压,欧元、英镑、日元下跌近0.3%。 受地缘政...

  • 罕见!全球“大动脉”告急 危险风暴直击美国 超级泡沫要破?华尔街大佬预警

    日期:2023-08-15 08:09:41 点击:35 好评:0

    全球供应链再添不确定性。 由于前所未有的干旱枯水,巴拿马运河通行能力急剧下降,截至本月10日,在该运河等待通行的船只已达161艘,远超雨季期间约90艘货船排队的常规情况,且...

  • 美联储何时转向?高盛:料于明年Q2首次降息

    日期:2023-08-15 08:09:35 点击:37 好评:0

    高盛 经济学家预计,美联储将在明年6月底前开始降息,并从那时起按季度逐步下调 利率 。 包括Jan Hatzius和David Mericle在内的 高盛 经济学家在周日的一份报告中写道,“我们下调预期的...